有关XRF的常见术语和问答(4)
单次测量的计数的标准偏差
单次测量的计数的标准偏差 Sc 和相对标准偏差 ε 分别为:
式中:N为单次测量的计数。上述公式仅在背景强度可以忽略的情况下适用。
单次测量的谱峰净计数的标准偏差
当背景不能忽略时,必须扣除背景。此时单次测量的谱峰净计数的标准偏差 Sc 和相对标准偏差ε分别为:
式中:NP 为单次测量的谱峰计数。NB 为单次测量的背景计数。
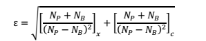
比率计数法的单次测量的计数的标准偏差
分析未知样品x时,为了获得准确的结果,有时需要用比较物质c进行比较。当采用简单的相对强度(比率计数)法计算结果时,单次测量的相对标准偏差ε为:
式中:NP 为单次测量的谱峰计数。NB 为单次测量的背景计数。下标 x 表示对未知样的测量结果。下标 c 表示对比较物质的测量结果。
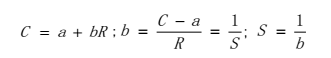
(X射线荧光光谱分析的)灵敏度S
灵敏度S(sensitivity)是测量系统示值变化除以相应的被测量值变化所得的商。 X射线荧光光谱分析的灵敏度按分析线测量强度(计数率)随分析元素浓度的变化率来定义。灵敏度为单位浓度对应的计数率或校准曲线斜率的倒数:
式中,a表示校准曲线的截距;R表示分析线的净强度或计数率;b表示校准曲线的斜率;S表示分析的灵敏度,kcps/%,或cps/ppm。
(X射线荧光光谱分析的)检出限LOD
检出限LOD(limit of detection),过去也称为检测限,检出极限,探测下限LLD(lower limit of detection)。以浓度表示,是指由特定的分析步骤能够合理地检测出的最小分析信号XLD求得的最低浓度CLD。用信噪比法,指由基质空白所产生的仪器背景信号标准偏差的3倍值的相应量,即:
式中,Rb为背景(本底)计数强度,N为已知浓度为C的低浓度试样的计数强度,T为测量时间。
检出限与测量时间有关,不给出测量时间的检出限是没有意义的。
检出限对微量或痕量分析仪器来说是最重要的指标,检出限越小则仪器越好。
定量限LOQ
定量限LOQ(limit of quantity)或QL(quantification limit),过去也称为测定限(determination limit,limit of determination),以浓度表示,是指在限定误差能满足预定要求的前提下,用特定方法能够准确定量测定被测物质的最低浓度CLQ。一般是检出限的3倍或10/3倍。
检出限LOD和定量限LOQ两者的区别在于,定量限所规定的最低浓度,应满足一定的精密度和准确度的要求。
测量范围下限值和上限值
测量范围下限值(measuring range lower limit):是在规定条件下,可由具有一定的仪器不确定度的测量仪器或测量系统能够测量出的最低量值,一般就是定量限LOQ。测量范围上限值(measuring range higher limit):是在规定条件下,可由具有一定的仪器不确定度的测量仪器或测量系统能够测量出的最大量值。
有些公司在给出产品的技术指标时将测量范围下限值写为“0”,这时极不科学的。还有的是以检出限作为测量范围下限值,这也是错误的,并且还带有欺骗性。
一般在技术指标中只要给出检出限就可以了,因为给出了检出限也就给出了定量限及测量范围下限值。如果在技术指标中再给出测量范围,那么主要是为了给出测量范围上限值。
准确度、正确度和精密度的关系
测量准确度(measurement accuracy , accuracy of measurement),简称准确度(accuracy),是由测量所得量值与被测量真值间的一致程度。概念“测量准确度”不是一个量,不给出有数字的量值。当测量提供较小的测量误差时就说该测量是较准确的。
测量仪器的准确度(accuracy of a measuring instrument)是测量仪器的示值与被测量真值间的一致程度。准确度(accuracy)是一个定性概念。测量仪器准确度是表征测量仪器品质和特性的最主要的性能,因为任何测量仪器的目的就是为了得到准确可靠的测量结果,实质就是要求示值更接近于真值。为此虽然测量仪器准确度是一种定性的概念,但从实际应用上人们需要以定量的概念,如用准确度等级、测量仪器的示值误差、最大允许误差或引用误差等来具体表述,以确定其测量仪器的示值接近于其真值能力的大小。
测量正确度(measurement trueness , trueness of measurement),简称正确度(trueness),是无穷多次重复测量所得量值的平均值与一个参考量值间的一致程度。测量正确度不是一个量,不能用数值表示。测量正确度与系统测量误差有关,与随机测量误差无关。
测量精密度(measurement precision),简称精密度(precision),是在规定条件下,对同一或类似被测对象重复测量所得示值或被测量的值 间 的一致程度。精密度也是一个定性概念。但从实际应用上人们需要以定量的概念来具体表述。测量精密度通常用不精密程度以数字形式表示,如在规定测量条件下的标准偏差、方差或变差系数。规定条件可以是重复性测量条件,期间精密度测量条件或复现性测量条件。精密度是准确度的一个组成部分,而且是它的一个重要的组成部分。精密度国际上已不再使用。
传统的误差理论认为准确度是系统误差与随机误差的综合,精密度决定于随机误差(过失除外),准确度高,一定需要精密度高,但精密度高,却不一定准确度高,因此精密度是保证准确度的先决条件。
重复性和复现性、期间精密度和稳定性的区别
[测量仪器的]重复性(repeatability[of a measuring instrument])是指,在相同测量条件下,重复测量同一个被测量,测量仪器提供相近示值的能力。这些条件包括:相同的测量程序;相同的观测者;在相同条件下使用相同的测量设备;在相同地点;在短时间内重复。重复性可用示值的分散性定量地表示,最为常用的是实验标准差。
测量重复性(measurement repeatability),简称重复性(repeatability),是在重复性测量条件下的测量精密度。以包括相同测量程序、相同操作者、相同测量系统、相同操作条件和相同地点,在短时间内对同一或相类似被测对象重复测量的一组测量条件称为重复性测量条件(repeatability condition of measurement),简称重复性条件(repeatability condition)。重复性可用测量结果的分散性定量表示。
测量复现性(measurement reproducibility),简称复现性(reproducibility),是在复现性测量条件下的测量精密度。以包括不同地点、不同操作者、不同测量系统、对同一或相类似被测对象重复测量的一组测量条件,称为复现性测量条件(reproducibility condition of measurement),简称复现性条件(reproducibility condition)。在给出复现性时应说明改变和未变的条件及实际改变到什么程度。复现性可用测量结果的分散性定量地表示,最为常用的是实验标准差。测量结果在这里通常理解为已修正结果。
重复性是在相同测量条件下,复现性是在改变了的测量条件下。
期间测量精密度(intermediate measurement precision),简称期间精密度(intermediate precision),是一段时期内在期间精密度测量条件下的测量精密度。以包括相同测量程序、相同地点,但可能包括有改变的其它条件,在一个长时期内重复测量同一或相类似被测对象的一组测量条件,称期间精密度测量条件(intermediate precisioncondition of measurement),简称期间精密度条件(intermediateprecision condition)。改变的条件可包括新的校准、测量标准器、操作者和测量系统。在给出期间精密度时应说明改变和未变的条件及实际改变到什么程度。
测量仪器的稳定性(stability of a measurement instrument),简称稳定性(stability),是测量仪器保持其计量特性随时间恒定的特性。稳定性可用几种方式量化。例:a) 用计量特性变化到某个规定的量所经过的时间间隔表示;b) 用特性在规定时间间隔内发生的变化表示。
误差、绝对误差与相对误差
测量误差(measurement error , error of measurement),简称误差(error),是测得的量值减去参考量值。
当有必要与相对误差相区别时,此术语有时称为测量的绝对误差。注意绝对误差就是误差,是有正负的,不要与误差的绝对值相混淆,后者为误差的模。
相对误差(relative error)是测量误差除以参考量值。
误差、系统误差与随机误差
测量误差(measurement error , error of measurement),简称误差(error),是测得的量值减去参考量值。
系统测量误差(systematic measurement error),简称系统误差(systematic error),是在重复测量中保持恒定不变或按可预见方式变化的测量误差的分量。系统测量误差的参考量值是真值,或是测量不确定度可忽略不计的测量标准的测得值,或是约定量值。系统测量误差及其来源可以是已知或未知的。对于已知的系统测量误差可采用修正补偿。
随机测量误差(random measurement error),简称随机误差(random error),是在重复测量中按不可预见方式变化的测量误差的分量。随机测量误差的参考量值是对同一被测量由无穷多次重复测量得到的平均值。一组重复测量的随机测量误差形成一种分布,该分布可用期望和方差描述,其期望通常可假设为零。
随机误差等于误差减系统误差。
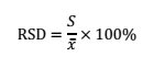
相对标准偏差RSD
相对标准偏差RSD为:
..................................................
查看更多内容,请下载文档。

联系我们